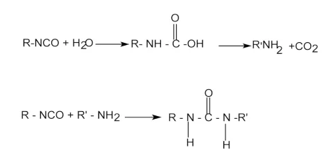
Реакция газообразования

Для получения пены полиуретан должен быть увеличен по объему за счет образования газов и пузырьков. Подходящим источником газа является реакция изоцианатной группы с водой, дающая диоксид углерода:

Реакция гелеобразования

Промежуточным продуктом реакции является термически нестабильная карбаминовая кислота, которая спонтанно разлагается на амин и диоксид углерода. Диффузия диоксида углерода в пузырьки, первоначально зарождающиеся в реакционной среде, приводит к ее расширению с образованием пены. Дальнейшая реакция амина с изоцианатом дает замещенную полимочевину.

Вспенивание может также быть достигнуто физическим способом, вводя в рецептуру пены низкокипящую нереактивную жидкость. Наиболее часто используют в качестве вспенивающих агентов углеводороды, хлорфторуглероды и гидрофторхлоруглероды. Испарение этих жидкостей за счет теплоты экзотермической реакции дает газы, диффундирующие в формующиеся пузырьки и способствующие расширению пены.

Другими источниками газов в системе являются:

  1. Газы, растворенные в жидких реагентах;
  2. Газы, образующиеся при термическом разложении добавок, вводимых в рецептуру;
  3. Воздух и другие газы могут быть специально введены в систему, используя механические мешалки или приспособления для вспенивания.

Ячейки в конечной полиуретановой пене образуются за счет диффузии газа в пузырьки,
которые нуклеаризуются или возникают в системе во время смешения. Окончательная
стабилизация сетки является результатом химической реакции при гелеобразовании полимера. В
точке гелеобразования исключаются движение и расширении пленки, вызываемые физическими
силами.